Home
About Us
Feature
Blogs
Business
How It Work
154
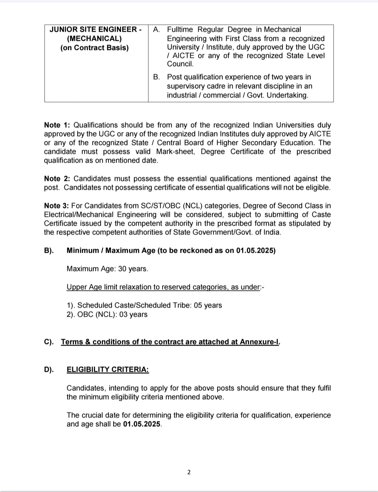
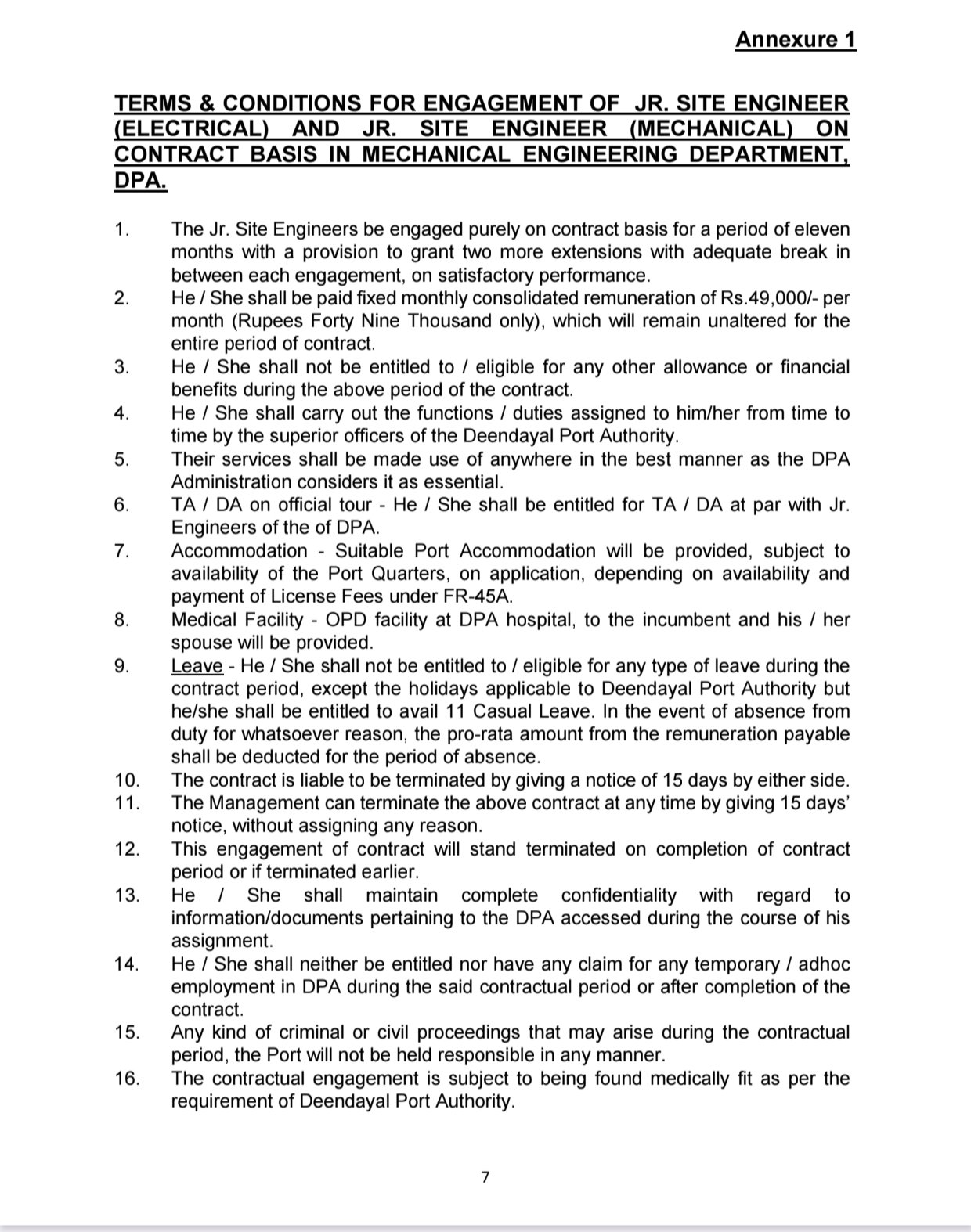
Deendayal Port Recruitment 2025: 30 Junior Site Engineer Vacancies – Apply for Electrical & Mechanical Posts! - Navodaya Clap
Home
Blogs
Deendayal Port Recruitment 2025: 30 Junior Site Engineer Vacancies – Apply for Electrical & Mechanical Posts!
Deendayal Port Recruitment 2025: 30 Junior Site Engineer Vacancies – Apply for Electrical & Mechanical Posts!
Job Alert | By Admin | May 20, 2025
Latest Blogs
पाकिस्तानी PM शहबाज बोले- मित्र देशों से कर्जा मांगने के दौरान करना पड़ा अपमानजनक स्थिति का सामना
Feb 01, 2026
पाकिस्तान के बलूचिस्तान प्रांत में भारी हिंसा, 48 घंटों में 14 शहरों में 48 धमाके…. 80 लोगों की मौत
Feb 01, 2026
IMF रिपोर्ट: भारत-चीन ने छोड़ा अमेरिका को पीछे, एलन मस्क बोले-बदल रहा है वैश्विक शक्ति संतुलन
Feb 01, 2026
जेफरी एपस्टीन केस : रूसी महिला के ऊपर बैठे ब्रिटिश के बदनाम राजा के भाई एंड्रयू
Feb 01, 2026
एपस्टीन फाइल्स में न्यूयॉर्क मेयर ममदानी की मां मीरा नायर भी शामिल ?
Feb 01, 2026
Gaza suffers deadliest Israeli attack since October ceasefire; over 30 killed in bombing, including children
Feb 01, 2026
Budget से पहले 50 रुपये महंगा हुआ कॉमर्शियल गैस सिलेंडर, घरेलू के दाम में कोई बदलाव नहीं
Feb 01, 2026
आज संसद में पेश होगा देश का बजट.. ट्रंप टैरिफ और वैश्विक तनाव के बीच आर्थिक रफ्तार बनाए रखने की चुन
Feb 01, 2026
गाजा पर इजरायल का अब तक का सबसे बड़ा हमला, बमबारी में बच्चों समेत 30 से ज्यादा की मौत
Feb 01, 2026
FASTag, LPG से लेकर पान-मसाला तक, आज से देश में लागू हो रहे ये 5 बड़े बदलाव!
Feb 01, 2026